
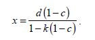
Можно представить эту формулу иначе:
[3]. 
Из формулы [3] видно, что коэффициент резервирования c и средний процент неиспользованных займов k оказывают противоположное влияние на способность отдельного банка создавать кредиты и депозиты. Чем ниже c и чем выше k, тем выше будет x. Поэтому экономическая логика формулы [3] очень проста: чем выше коэффициент резервирования, который, по оценке банка, необходимо поддерживать, тем меньше кредитов он способен предоставить. В противоположность этому, если коэффициент резервирования или резервные требования остаются неизменными, тогда чем меньше средств, предоставленных в виде кредитов, по мнению банка, будет в среднем изъято заемщиками, тем больше средств будет доступно для расширения кредитования.
До сих пор мы полагали k средним процентом займов, не использованных заемщиками. Однако, согласно С. А. Филлипсу, k может скрывать иное явление, оказывающее в итоге то же влияние. Например, k может отражать вероятность того, что на рынке с небольшим числом банков заемщик осуществит платеж другому клиенту того же банка. Считается, что в таких случаях эти клиенты внесут чеки на свои счета в одном и том же банке, и таким образом деньги не покидают банка. Это явление имеет тот же самый конечный эффект, как и увеличение среднего процента кредитов, не использованных заемщиками. Чем меньше банков работает на рынке, тем выше будет k, а чем выше k, тем меньше денег уходит из банка и тем выше способность банка к расширению кредитов. Одно из сильнейших побуждений, формирующих тенденцию банков к слияниям и поглощениям, которое при банковской системе с частичным резервированием всегда было очевидным, состоит именно в желании увеличить k. Чем больше происходит банковских слияний и чем больше в результате слияний увеличивается рыночная доля отдельных банков, тем выше вероятность того, что граждане, получившие на рынке фидуциарные средства какого-либо банка, окажутся его клиентами. Поэтому увеличатся и k, и соответствующая способность создавать из ничего кредиты и депозиты, а связанная с этим прибыль вырастет в еще большей степени. Величина k будет расти и тогда, когда денежные вклады будут вноситься в другие банки, которые, в свою очередь, расширят выдачу кредитов, и их заемщики в конечном счете вложат в начальный банк значительную часть полученных ими новых денег. Это явление также ведет к росту денежных резервов банка и, следовательно, его способности к кредитной экспансии.
К примеру, если мы предположим, что коэффициент резервирования или резервные требования c равны 10 %, что доля неиспользованных кредитов k равна 20 % (эта доля также включает влияние большого числа клиентов банка, а также другие факторы) и что сумма изначально внесенных в банк вкладов d равна 1 000 000 д.е., то, подставляя эти значения в формулу [3], получим:
[4] 
Отсюда мы видим, что банк, принявший вкладов до востребования на сумму 1 000 000 д.е., при поддержании 10 %-ного коэффициента резервирования и 20 %-ного k может предоставлять кредиты не на 900 000 д.е., как мы предполагали для иллюстрирования бухгалтерской записи (18) и последующих, а на значительно большую сумму 1 097 560 д.е. Следовательно, даже для случая изолированного банка способность к кредитной экспансии и созданию депозитов на 22 % выше, чем мы предположили в записи (18) и последующих. Поэтому нам следует изменить наши прежние бухгалтерские записи, чтобы, следуя англосаксонской системе учета, отразить, что при c = 0,1 и k = 0,2 банк сможет расширить свой кредит до 1 097 560 д.е. вместо предполагаемых ранее 900 000 д.е., т. е. что способность банка к кредитной экспансии на 22 % выше. Измененные записи и соответствующий им баланс (ср. с записями (18) и (19)) будут выглядеть следующим образом:

Эти записи соответствуют начальному вкладу в размере 1 000 000 д.е. и созданию изолированным банком из ничего кредитов и депозитов на сумму 1 097 560 д.е. Значение k (равное 0,2) указывает на то, что заемщики в среднем используют 80 % средств, которые они взяли в долг. Когда производится такое снятие денег со счета (и даже если снимается больший объем, при условии что несколько конечных получателей денег являются клиентами того же самого банка и хранят деньги в нем), производится следующая запись:

При этом банковский баланс выглядит следующим образом:

Очень маленький банк
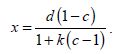
Теперь рассмотрим особый вид изолированного банка – очень маленький, "лилипутский" банк, т. е. такой, для которого k = 0. Это означает, что заемщики немедленно изымают свои кредиты полностью, а те, кому они перечисляют платежи, не являются клиентами того же банка, что и заемщики. Если k = 0, то, подставляя это значение в формулу [3], получаем:
[5] x = d(1 – c).
И, поскольку в нашем примере d = 1 000 000 д.е., а c = 0,1, то:
x = 1 000 000(1–0,1) = 900 000 д.е.
Это в точности равно сумме депозитов, или фидуциарных средств обращения, созданных из ничего, которая отражена в записях (11) и (18). Однако в последнем разделе мы видели, что на практике, когда k лишь немногим отличается от нуля, изолированный банк может создавать значительно больший объем фидуциарных средств обращения. (Если k = 0,2, он может создать на 22 % больше, т. е. 1 097 560 д.е. вместо 900 000 д.е. в первом примере.) Это будет верно независимо от того, использует банк континентальную или англосаксонскую бухгалтерскую систему, и в изолированном банке созданная сумма может даже превышать объем начального депозита.