При любой системе пополнения запасов требуют решения два основных вопроса: когда делать заказ и сколько товара заказывать. При системе с фиксированным интервалом между заказами устанавливаются строго определенные сроки представления заказа, тем самым решается вопрос "когда?". Ответить надлежит на вопрос "сколько?" Для этого устанавливают и фиксируют в карточках учета или памяти компьютера величину "максимального" или "требуемого запаса" для каждого товара. Наличный запас плюс ожидаемый приход по предыдущему заказу должны быть достаточными для удовлетворения спроса в период до следующего пополнения запаса, т. е.:
Требуемый запас = Количество, расходуемое за период контроля + Количество, расходуемое за период поставки + Страховой запас.
Из этого следует, что:
Размер заказа = Требуемый запас – (наличный запас + ожидаемый приход).
При работе по системе пополнения запасов через фиксированные интервалы времени ничто не препятствует использованию оптимальных заказов, особенно для товаров, имеющих стабильный спрос в период между поставками. Заказчики стараются точнее рассчитывать и своевременно корректировать величины требуемых запасов товаров – это способствует точности заказов и минимизации расходов по закупкам и содержанию товаров.
Выполним примерный расчет годовых затрат на заказы и хранение одного наименования товара на базе следующих данных.
Выбираем три разных товара, закупочная стоимость которых – обозначим ее Р– составляет 0,5 руб., 0,1 руб. и 10,0 руб.
Расходы на заказы каждой партии – обозначим их А – условно составляют 0,2 руб.
Расходы по хранению единицы товара – обозначим их В – условно составляют 65 %, т. е. для наших товаров 0,325 руб., 0,065 руб. и 6,5 руб. соответственно.
Годовой расход товаров – обозначим его С – 48 шт.
Размер одной закупочной партии – обозначим его F – установлен поставщиком в 4, или 12, или 24, или 48 шт. и более, кратно количеству в упаковке.
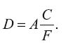
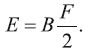
Расчет годовых затрат производится по следующим формулам:
Годовые затраты на заказы 
Годовые затраты на хранение 
Суммарные годовые затраты S = D + Е.
При различных частоте и размере заказов годовые суммарные затраты изменяются разнонаправленно – это подтверждают данные таблицы. Расчет затрат производится в зависимости от частоты заказов и размеров партий товаров. Очевидно, что для товаров небольшой стоимости затраты на заказы более весомы, чем затраты на хранение. 
* Подчеркнуты экономичные варианты заказов.
Приведенный график, построенный по данным таблицы для товаров стоимостью 0,1 руб., показывает, что точка экономичного заказа находится в точке равенства расходов на закупку и хранение. Для дорогих товаров затраты на закупку незначительны, и основная тяжесть падает на расходы по хранению. Затраты могут быть минимизированы, если товары малой стоимости заказывать большими партиями через длительные интервалы, а дорогие – заказывать чаще, но мелкими партиями. На практике расчеты выполняются по таблицам, построенным на известной формуле Вильсона, включающей вышеприведенные компоненты и основанной на положении, что при оптимальных объемах партий и периодичности заказов затраты на заказы примерно равны расходам на хранение.
Тогда экономичный размер заказа равен:
штук.

Расчет оптимального объема заказа
Если подставить приведенные выше значения, получим: Количество, оптимальное для заказа, равно

= 17,2 шт.
Ближайшее количество, кратное четырем (количеству в одной упаковке), равно 16. Если устраивают сроки размещения заказа, это количество и заказывается в установленный момент подачи заявки.
При расчете сделаны допущения для упрощения задачи:
– расход товара в период между заказами будет постоянным, т. е. средний уровень запаса составит половину годового сбыта;
– в использовании складских площадей ограничений нет. Полученный оптимальный размер заказа реален лишь в
случае, если в темпах сбыта в течение года и в затратах по содержанию запасов и оформлению заказов не произойдет изменений. Изменение стоимости единицы товара повлияет на общую сумму сбыта в рублях, что соответственно изменит количество оптимального заказа. Для компенсации влияния этих факторов нужен новый расчет с новыми данными.
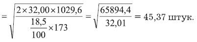
Некоторые компании применяют нижеследующий вариант расчета оптимального количества для заказа у поставщика.
Параметры для расчета:
а – годовой прогноз продаж, например: средняя продажа в неделю 19,8 шт., прогноз годового сбыта 19,8 х 52 = 1029,6 шт.;
б – себестоимость (закупочная цена плюс складские расходы), например 32,00 руб.;
с – розничная цена брутто (до скидок), например 173 руб.;
д – складские расходы (процент от розничной цены), например 18,5%
Оптимальное количество для заказа (формула Вильсона)
V= (2 х а х б) / (с х д) =

Некоторые важные принципы, связанные с определением оптимального размера заказа:
– общая сумма издержек для данного заказываемого количества минимальна тогда, когда затраты по заказу равны затратам на содержание соответствующего запаса;
– в пределах ±20 % объема заказов общая сумма издержек по заказам изменяется незначительно, но вне этих пределов издержки резко растут или снижаются;
– в большинстве случаев дороже заказывать мало, чем заказывать много; чем чаще заказывать, тем дороже это обходится;
– изменение затрат на содержание запасов больше влияет на оптимальный объем заказа, чем изменение в затратах на заказы.
В торговле товарами широкого ассортимента относительно стабильного спроса расчет объемов очередных заказов выполняют по методу "скользящего среднего". Рассчитывается среднедневная реализация за последние три-шесть месяцев (период выбирается в зависимости от сезонности спроса или от необходимости фиксации тенденции) и умножается на то количество дней, в течение которого ожидается реализация заказываемой партии. Полученное количество корректируется с учетом условий поставки (минимально поставляемое количество, грузовой модуль или скидка при определенном количестве), а также с учетом анализа тенденций колебания спроса, и окончательное количество включается в заказ.
Подготовку проектов заказов компьютером следует программировать по различным алгоритмам, в зависимости от категории спроса, стоимости и маркетинговых соображений. Быстро оборачивающиеся запасные части заказывать по методу фиксированных интервалов между заказами. Средне оборачивающиеся запасные части, а также очень дешевые детали заказывать по методу "точки заказа". Дорогие агрегаты, а также новые детали для первых партий заказывать путем ручной подготовки расчетов. Принадлежности и материалы, поставляемые из той же местности, заказывать чаще по методу фиксированных объемов заказов.
Любой компьютерный проект заказа должен корректироваться товароведом – компьютер не может учесть, например, ожидаемого всплеска спроса на запчасти в связи с окончанием гарантийного периода у машин или падения спроса из-за списания машин у клиентов, замены детали на новую и т. п. Для управления запасами и корректировки заказов поставщикам товароведы должны при помощи компьютерных выборок выделять в отдельные группы детали по степени спроса, по оборачиваемости, по необходимости формирования страховых запасов.
Моменты размещения заказов
Оптимальный размер заказа – это ответ на вопрос: сколько товара следует заказывать в каждом заказе? Для того чтобы ответить на вопрос, когда следует заказывать, нужно определить так называемую точку заказа, т. е. момент пополнения запасов по каждой позиции. Определение таких точек базируется на сроках доставки товаров по заказам. Если срок доставки, например, составляет 5 дней и сбыт – 20 единиц за день, то очередной заказ на поставку товара следует делать тогда, когда текущий запас понизится до 100 единиц. Тогда запас будет восполнен к тому времени, когда текущий запас будет использован полностью. Большинство предприятий содержит страховые запасы на случай скачков спроса в период ожидания поставок или на случай задержек поставок. Уровень страхового запаса обычно определяется по той же точке заказа для каждого наименования товара и, как правило, выражается в виде процента к количеству единиц, реализуемых в течение срока поставки. Если установлен коэффициент, равный 33 % от среднего сбыта в 100 шт. в течение срока поставки, то страховой запас составляет 33 шт.
Точки заказов должны устанавливаться на уровне, когда затраты на содержание и потери от дефицита являются минимальными, или на уровне, при котором уменьшение потерь от дефицита, обусловленное прибавлением лишней единицы к точке заказа, равно дополнительной стоимости содержания этой единицы.