
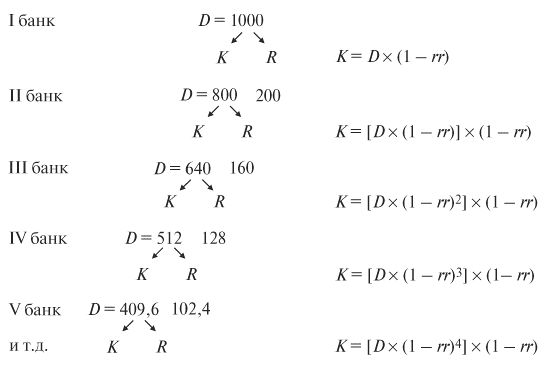
Полученные средства клиент использует на покупку необходимых ему товаров и услуг (фирма – инвестиционных, а домохозяйство – потребительских или на покупку жилья), создав продавцу доход (выручку), который попадет на его (продавца) расчетный счет в другом банке (например, банке II). Банк II, получив депозит, равный 800 долл., отчислит в обязательные резервы 160 долл. (800 × 0,2 = 160), и его кредитные возможности составят 640 долл. (800 × (1–0,2) = 640).
Баланс банка II

Выдав всю эту сумму в кредит, банк даст возможность своему клиенту оплатить сделку (покупку) на эту сумму, т. е. обеспечит выручку продавцу. Сумма в 640 долл. в виде депозита попадет на расчетный счет этого продавца в банке III. Обязательные резервы банка III составят 128 долл. (164 × 0,2 = 128), а кредитные возможности 512 долл. (640 × (1–0,2) = 512).
Баланс банка III

Предоставив кредит на эту сумму, банк III создаст предпосылку для увеличения кредитных возможностей банка IV на сумму в 409,6 долл., банка V – на 327,68 долл. и т. д. Получим своеобразную пирамиду:

Это и есть процесс депозитного расширения.
Общая сумма денег (общая сумма депозитов банка I, II, III, IV, V и т. д.), созданная коммерческими банками, составит:
М = D
I + D II + D III + D V + D V + … = D + D × (1 – rr ) + [ D × (1 – rr )] × (1 – rr ) + [ D × (1 – rr )2] × (1 – rr ) + [ D × (1 – rr )3] ×(1 – rr ) + [ D ×(1 – rr )4] × (1 – rr ) +… = 1000 + 800 + 640 + 512 + 409,6 + 327,68 +…
Таким образом, мы получили сумму бесконечно убывающей геометрической прогрессии со знаменателем (1 – rr ), т. е. величиной меньше 1. В общем виде эта сумма будет равна:
М = D ×
[1 / (1 – (1 – rr ))] = D × (1 / rr ).
В нашем случае М = 1000 × (1 / 0,2) = 1000 × 5 = 5000. Величина 1 / rr носит название банковского (или кредитного) мультипликатора:
mult
банк = 1 / rr.
Еще одно его название – мультипликатор депозитного расширения (депозитный мультипликатор). Все эти термины означают одно и то же, а именно: если увеличиваются депозиты коммерческих банков, то денежная масса увеличивается в большей степени, т. е.
М = D
× mult банк.
Например, в США банковский мультипликатор равен 2,7.
Банковский мультипликатор показывает общую сумму депозитов, которую может создать банковская система из каждой денежной единицы, вложенной на счет в коммерческий банк. В нашем примере каждый доллар первоначального депозита создал 5 долл. средств на банковских счетах.
Мультипликатор действует в обе стороны. Денежная масса увеличивается, если деньги попадают в банковскую систему (увеличивается сумма депозитов), и сокращается, если деньги уходят из банковской системы (их снимают со счетов). А поскольку, как правило, в экономике деньги одновременно и вкладывают в банки, и снимают со счетов, то денежная масса существенно измениться не может. Такое изменение может произойти только в том случае, если центральный банк изменит норму обязательных резервов, что повлияет на кредитные возможности банков и величину банковского мультипликатора. Не случайно изменение нормы обязательных резервов представляет собой один из инструментов монетарной политики ЦБ (политики по регулированию денежной массы).
С помощью банковского мультипликатора можно подсчитать не только величину денежной массы ( М ), но и ее изменение. Поскольку величина денежной массы складывается из наличных и безналичных денег (средств на текущих счетах коммерческих банков), т. е. М = С + D , то на депозит банка I деньги (1000 долл.) поступили из сферы наличного денежного обращения, т. е. они уже составляли часть денежной массы и произошло лишь перераспределение средств между С и D . Следовательно, денежная масса в результате процесса депозитного расширения увеличилась на 4000 долл. ( М – D I = 5000–1000 = 4000), т. е. коммерческие банки создали денег именно на эту сумму. Это результат выдачи ими кредитов, поэтому процесс увеличения предложения денег начался с увеличения общей суммы депозитов банка II в результате предоставления кредита банком I своим клиентам на сумму его кредитных возможностей, равную 800 дол. Следовательно, изменение предложения денег может быть рассчитано по формуле:
ΔМ = D
II + D III + D IV + D V + … = D × (1 – rr) + [D × (1 – rr )] × (1 – rr ) + [ D × (1 – rr )2] × (1 – rr) + [ D × (1 – rr )3] × (1 – rr ) + [ D × (1 – rr )4] × (1 – rr ) +… = 800 + 640 + 512 + 409,6 + 327,68 +… = 800 × (1 / 0,2) = 800 × 5 = 4000,
или
ΔМ =
[ D × (1 – rr) ] × (1 / rr ) = К × (1 / rr ) = К × mult банк = 800 × (1 / 0,2) = 4000.
Таким образом, изменение предложения денег зависит от двух факторов: величины резервов коммерческих банков, выданных в кредит, и величины банковского мультипликатора. Воздействуя на один или на оба фактора, ЦБ может изменять величину предложения денег, проводя монетарную (кредитно-денежную) политику.
Тема 9. МОНЕТАРНАЯ ПОЛИТИКА
Цели и инструменты монетарной политики. Монетарная (кредитно-денежная) политика – один из видов стабилизационной, или антициклической, политики, направленной на сглаживание циклических колебаний экономики (наряду с политикой фискальной, внешнеторговой, валютной и др.). Целью любой стабилизационной, а следовательно, и монетарной политики государства является обеспечение, во-первых, экономического роста, во-вторых, полной занятости ресурсов, в-третьих, стабильности уровня цен, в-четвертых, равновесия платежного баланса. Для стабилизации экономики государство проводит стимулирующую (экспансионистскую) экономическую политику в период спада и сдерживающую (контрактивную) политику в период бума.
Монетарная политика оказывает влияние на экономическую конъюнктуру, воздействуя на совокупный спрос . Объектом регулирования выступает денежный рынок , и прежде всего денежная масса .
Определяет и осуществляет монетарную политику центральный банк страны, однако изменение предложения денег в экономике происходит в результате операций не только ЦБ, но и коммерческих банков, а также решений небанковского сектора (домохозяйств и фирм).
Тактическими целями (целевыми ориентирами) монетарной политики ЦБ могут выступать: а) контроль за предложением денег (денежной массы); б) контроль за уровнем ставки процента; в) контроль за обменным курсом национальной денежной единицы (национальной валюты).
Изменение предложения денег ЦБ осуществляет посредством воздействия на резервы коммерческих банков (и, следовательно, на их кредитные возможности) и денежный мультипликатор . Фактический объем денежной массы является результатом операций коммерческих банков по приему депозитов и выдаче кредитов. Рост предложения денег соответствует стимулирующей, а сжатие денежной массы – сдерживающей монетарной политике.
К инструментам монетарной политики, дающим возможность центральному банку контролировать величину денежной массы, относятся: 1) изменение нормы обязательных резервов; 2) изменение учетной ставки процента (ставки рефинансирования); 3) операции на открытом рынке.
Первым инструментом монетарной политики является изменение нормы обязательных резервов. Обязательные резервы представляют собой часть депозитов коммерческих банков, которую они не имеют права выдавать в кредит и должны хранить в виде беспроцентных вкладов в ЦБ. Величина обязательных резервов ( R обяз) определяется в соответствии с нормой обязательных резервов (rr), которая устанавливается ЦБ и представляет собой процент от общей суммы депозитов коммерческого банка (D).
Для каждого вида депозитов (до востребования, сберегательные, срочные) устанавливается своя норма обязательных резервов, причем чем выше степень ликвидности депозита, тем выше эта норма. Например, для депозитов до востребования норма обязательных резервов более высокая, чем для срочных. Если ЦБ повышает норму обязательных резервов, то предложение денег сокращается по двум причинам: