Г. М. Флейшер - Индексная оценка в ортопедической стоматологии. Руководство для врачей стр 2.

Шрифт
Фон

2 степень. ИРОПЗ 0,60,8 (разрушении окклюзионной поверхности более чем на 60%) показано пломбирование и применение искусственных коронок с профилактической целью;

3 степень. ИРОПЗ больше 0,8 (разрушении окклюзионной поверхности более чем на 80%) показано изготовление штифтовых конструкций.

Неправильное

определение ИРОПЗ, а, следовательно, и выбора конструкции, приводит к отколам и расколам коронок зубов после цементирования вкладок или лечения пломбированием.

Для объективизации исследований при диагностике состояния твердых тканей зубов некоторые авторы усовершенствовали методику определения ИРОПЗ, позволяющая повысить точность и упростить его определение.

Так, например, Клемин В. А. с соавторами (2004) различают прямой и непрямой метод определения индекса в зависимости от места и вида проводимых манипуляций.

При прямом методе (с помощью градуированного стоматологического зонда) ИРОПЗ помощью вычисляют непосредственно в полости рта, а при косвенном предусматривает снятие оттиска или оттискного изображения с исследуемого зуба, а дальнейшее определение индекса проводят на гипсовой модели. Использование компьютерной технологии для определения ИРОПЗ представляется весьма перспективным направлением в стоматологии и получает широкое распространение в клинике.

Модифицированные методики:

определение индекса с помощью прозрачной пластинки, миллиметровой бумаги и планиметра;

определение индекса, используя прозрачную пластинку с миллиметровой сеткой;

определение индекса по оттиску или отпечатку из невулканизированного каучука или силикона;

метод вычисления ИРОПЗ по внутриротовой фотографии, в том числе с использованием внутриротовых камер, специальных компьютерных программ.

Недостатки метода В. Ю. Миликевича и его модификаций:

1. Недостаточная точность:

учитывается степень разрушения (площадь) только жевательной поверхности боковых зубов (моляров и премоляров);

невозможно учесть глубину полости зуба и соответственно объем разрушения коронки, так как учитывается только площадь разрушенной жевательной поверхности;

не учитывается поражение других поверхностей исследуемых зубов (вестибулярной, язычной, контактных).

2. Метод не может быть использован для оценки степени утраты твердых тканей фронтальной группы зубов (резцов и клыков), так как они не имеют жевательной поверхности.

3. Трудоемкость, многоэтапность, сложность вычислений. Модификации метода предполагают использование специального дорогостоящего оборудования (планиметр, фотоаппарат для внутриротовой съемки, компьютер и специальное программное обеспечение).

Методика определения индекса ИРОПЗ по В. Ю. Миликевичу описана в Приложении 2.

2. Выбор вида ортопедической конструкции для восстановления коронки зуба в зависимости от глубины разрушения коронки зуба Индекс глубины разрушения коронки зуба по Терещенко Е. Н. (ИГРКЗ, 2004) Модификация Индекса разрушения окклюзионной поверхности зуба по В. Ю. Миликевичу (ИРОПЗ, 1984)

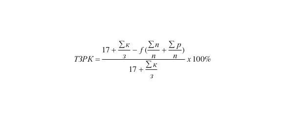
3. Метод определения тканевого запаса реставрируемых коронок зубов (ТЗРК)

где

ТЗРК тканевой запас реставрируемой коронки;

17 количество всех поверхностных сегментов коронки зуба;

к/з количество корней зуба;

f коэффициент протяженности деструкции по глубине (0,1 для начального и поверхностного кариеса, 0,5 для среднего и глубокого кариеса, 1 для кариеса прободающего в полость зуба);

п/п количество пораженных поверхностных сегментов;

р/п количество реставрированных поверхностных сегментов.

По представленной ниже табл. 1 показателей максимальных, средних и минимальных пределов индексов ТЗРК осуществляют выбор метода реставрации коронки зуба. В данном случае критерием для выбора метода реставрации зуба является попадание полученного числового значения ТЗРК в промежуток показателей процентных индексов ТЗРК (табл. 1), что способствует достоверному обоснованию принимаемых лечебных мер.

Таблица 1.

Шкала показателей максимальных, средних и минимальных пределов индексов ТЗРК и соответствующих им возможных способов реставрации коронок зубов

В сравнении с данными табл. 2 устанавливают категорию сложности деструктивного процесса и прогноза конечных результатов реставрации по уровню его расположения на поверхностных сегментах коронки зубов.

Таблица 2.

Категории сложности реставрации по уровню их расположения на поверхности коронок зубов и прогнозы их конечных результатов

.

4. Показатель объемного разрушения тканей зуба (ПОРТЗ) Янишен И. В. (1997)

Он вычисляется по соотношению объема разрушенных тканей к объему тканей коронки. Расчет ПОРТЗ вычисляет по следующей формуле:

ПОРТЗ= V1/V2

где

V 1 объем дефекта твердых тканей зуба;

V 2 объем коронки зуба.

V = П R2 h

где П = 3,14

R радиус коронки зуба или полости (дефекта);

h высота коронки зуба или глубина полости (дефекта).

По мнению автора ПОРТЗ является не только диагностическим тестом, но и показателем, определяющим метод лечения (пломба, вкладка, искусственная коронка, штифтовый зуб) при дифференцированном выборе с целью предупреждения дальнейшего разрушения коронки зуба.

5. Индекс разрушения коронки зуба (ИРКЗ, В. А. Титоренко, В. Ю. Широков, 2013)

Ваша оценка очень важна

0
Шрифт
Фон

Помогите Вашим друзьям узнать о библиотеке