Ефим Вульфович Крейнин - Нетрадиционные углеводородные источники: новые технологии их разработки. Монография стр 16.

Шрифт
Фон

создания искусственных коллекторов повышенной дренирующей способности для добычи угольного метана.

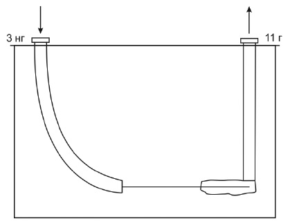
На рис. 12 (а) представлена схема дутьегазовых потоков на участке скважин 3нг и 11 г во время огневого расширения бурового канала горизонтальной скважины.

Предварительно наклонно-горизонтальная скважина 3нг была соединена с газоотводящей скважиной 11 г, после чего в первую из них подавали воздушное дутье в количестве 15001800 м3/ч, а очаг горения перемещался по горизонтальному буровому каналу навстречу воздушному дутью от скважины 11 г.

На рис. 12 (б) в общем виде представлено изменение гидравлического сопротивления горизонтального канала ΔРг.с.к. во времени. На участке 2 это сопротивление постепенно снижалось по мере перемещения очага горения под колонну наклонно-горизонтальной скважины 3нг. На участке 3 гидравлическое сопротивление проработанного горизонтального канала оставалось практически постоянным.

Рис. 12 а Схема дутьегазовых потоков на участке скважин 3нг и 11 г во время огневого расширения бурового канала горизонтальной скважины

Рис. 12 б Изменение гидравлического сопротивления горизонтального канала во времени

В рассматриваемой технологической схеме, когда дутье нагнеталось в скважину 3нг, а газ отводился из скважины 11 г, расчет проводился по формуле:

Pг.с.к. = (P1 ΔP1) (P2 ΔP2),

(4)

где Рг.с.к. гидравлическое сопротивление горизонтального канала, кг/см2;

Р1 давление на головке дутьевой скважины 3нг, кг/см2;

Р1 гидравлическое сопротивление колонны скважины 3нг, кг/см2;

Р2 давление на головку газоотводящей скважины 11 г, кг/см2;

Р2 гидравлическое сопротивление колонны газоотводящей скважины 11 г, кг/см2.

Гидравлическое сопротивление колонны скважины определяли по формуле (5):

(5)

где ΔР гидравлическое сопротивление колонны скважины, кг/см2;

λ коэффициент сопротивления колонны;

l длина колонны, м;

υ скорость воздуха (газа) в колонне, м/с;

γ удельный вес газа (воздуха), кг/м3;

d диаметр колонны, м;

g ускорение свободного падения, м/с2.

При определении скорости движения воздуха вводили поправку на его давление, а при определении скорости движения газа поправку на его давление, температуру и влагосодержание.

Общая длина горизонтального бурового канала составляла 120 м, а время противоточного перемещения очага горения 72 ч. Скорость его перемещения рассчитывали по формуле (6):

(6)

где w скорость перемещения очага горения, м/ч;

l длина горизонтального бурового канала, м;

τ время противоточного перемещения очага горения, ч.

Эффективность расширения (проработки) угольного канала может быть определена следующим образом. Учитывая, что среднечасовой расход воздушного дутья равнялся 1740 м3/ч, удельный его расход на перемещение очага горения на 1 м (погонный) горизонтального канала рассчитывают по формуле (7):

где Qуд. удельный расход воздушного дутья, м3/м (погонный);

q1 среднечасовой расход воздушного дутья, м3/ч;

w скорость перемещения очага горения, м/ч.

Следовательно, выгазование угольного пласта на каждом метре канала будет рассчитываться по формуле (8):

(8)

где А выгазование угольного пласта, м3/м (погонный);

Vг выход газа из 1 кг угля, м3/кг;

γ удельный вес угля, т/м3.

Радиус расширенного горизонтального канала определяют по формуле (9):

(9)

где R1 радиус расширенного горизонтального канала, м;

А выгазование угольного пласта, м3/м (погонный);

R0 радиус первоначального горизонтального канала, м.

Таким образом, в результате перемещения очага горения навстречу воздушному дутью диаметр горизонтального канала увеличился с 0,15 до 0,94 м, а стенки его (после охлаждения) будут пронизаны многочисленными трещинами глубиной 1,01,5 м.

Завершающей стадией огневой проработки горизонтального бурового канала должна быть продувка его азотом, что сразу же предотвратит экологическое загрязнение горного массива.

1.5.5. Создание в призабойной зоне отдельной вертикальной скважины развитой поверхности фильтрации

Реализацию предлагаемой технологии рассмотрим на примере метаноугольного пласта в Кузбассе. Метаноемкость пласта достигает 3040 м3/т угля. Сорбированный угольным пластом метан с трудом извлекается, поскольку связан с угольной матрицей прочными физико-химическими связями. Необходимы искусственно созданные дрены для миграции угольного метана. Как правило, для этого применяют гидравлический разрыв угольного пласта, который содействует гидрорасчленению угольного пласта и десорбции метана.

Создания искусственных дренирующих поверхностей в метаноугольном пласте достигают сжиганием угольного пласта на забое розжиговой скважины, в результате которого в угольном пласте образуется вскрытая поверхность для фильтрации угольного метана [44].

Технологический регламент осуществляют в следующей последовательности.

Бурят вертикальную скважину, при этом угольный пласт вскрывают на всю его мощность (рис. 13). На забой розжиговой скважины спускают химические реагенты на основе селитры (либо какие-то другие воспламенители), которые в потоке нагнетаемого воздуха воспламеняют угольную поверхность. Возможен и другой, более простой вариант розжига угольной поверхности в ограниченном потоке воздуха (окислителя).

Ваша оценка очень важна

0
Шрифт
Фон

Помогите Вашим друзьям узнать о библиотеке