Шульпин Г. Б. - Эта увлекательная химия стр 30.

Шрифт
Фон

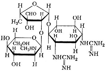
Антибиотиков сейчас известно очень много. Они имеют различное химическое строение. Молекула стрептомицина, например, состоит из трех углеводных остатков. Молекула грамицидина С, выделенного советсткими учеными, построена из аминокислот, образующих кольцо; интересно, что одна из аминокислот представлена D-формой это D-фенилаланин.

Стрептомицин

Грамицидин С

Тетрациклин

Как же действуют антибиотики? Они весьма различаются по своей химической структуре здесь и углеводы, и гетероциклы, и полипептиды.

Различаются они и механизмом действия на вредные бактерии.

Например, известно, что пенициллин не дает возможности бактерии производить вещества, из которых она строит свою клеточную оболочку. А бактерия без оболочки уже не бактерия.

Тетрациклин и стрептомицин (и некоторые другие антибиотики) не позволяют бактерии синтезировать специальные белки, нарушая таким образом ее жизненный цикл. Антибиотик актиномицин вмешивается в процесс образования белка на самой ранней стадии- на стадии биосинтеза матричной РНК на молекуле ДНК. Тетрациклин препятствует прикреплению РНК к рибосоме. Стрептомицин вместо РНК вклинивается в рибосому и все время "путает" процесс считывания с мРНК. К сожалению, бактерии постепенно приспосабливаются к присутствию антибиотиков; появляются новые штаммы, на которые данный антибиотик уже не действует. Поэтому перед микробиологами, фармакологами и химиками постоянно стоит задача создания новых антибиотиков, чтобы держаться "впереди микробов" в этом соревновании.

Многоликие алкалоиды

Собственно, Гофман мог предполагать, что ЛСД окажет такое действие на мозг, и обращаться с ним поосторожнее. Ведь многие алкалоиды принадлежат к нервным ядам, наркотикам. Еще с 1806 г. был известен морфин, выделяемый из сока головок мака.

Мы уже говорили, что лекарства и яды нередко вещества одной природы и что в небольшой концентрации яды могут выступать как лекарства. Действительно, морфин очень хорошее обезболивающее средство. Однако при длительном применении этого препарата у человека вырабатывается к нему привычка, организму требуются все большие дозы наркотика. Развивается наркомания; проявляются характерные симптомы: человек худеет, испытывает слабость, резко снижаются его умственные способности. Таким же действием обладает сложный эфир морфина и уксусной кислоты героин.

Морфин

Героин

В маковом соке опии содержится помимо сильных наркотиков еще и такой полезный алкалоид, как папаверин. Это сосудорасширяющее средство, помогающее при гипертонии.

Алкалоиды весьма обширный класс органических соединений, оказывающих самое различное действие на организм человека. Здесь и сильнейшие яды (стрихнин, бруцин, никотин), и полезные лекарства (пилокарпин -средство для лечения глаукомы, атропин-средство для расширения зрачка, хинин препарат для лечения малярии). К алкалоидам относятся и широко применяемые возбуждающие вещества кофеин, теобромин, теофиллин.

Кофеин

Интересно, что некоторые алкалоиды являются противоядиями по отношению к своим собратьям. Так, в 1952 г. из одного индийского растения был выделен алкалоид резерпин, который позволяет лечить не только людей, отравившихся ЛСД или другими галлюциногенами, но и больных, страдающих шизофренией.

Несколько слов о снотворных

Веронал

HN-СО C2H5 Из фенилэтилмалоновой кислоты получается . люминал (фенобарбитал), из других замещенных малоновых кислот мединал, амитал, нембутал, эвипан и т. д. Все эти вещества очень эффективные, относительно безвредные снотворные средства, широко применяющиеся в медицине.

Если болит голова

Амидопирин представляет собой производное гетероцикла пиразолона. Одно из простейших производных этого соединения-1-фенил-2,3-диметилпиразолон-5 также применяется в медицине под названием антипирина. В антипирин легко ввести аминогруппу, а прометилировав эту группу, мы и получаем амидопирин.

Если же вместо одной метильной группы ввести в аминопроизводное антипирина группировку CH2SO3Na, то перейдем к соединению, известному под названием анальгин. Болеутоляющее действие этого вещества еще сильнее, чем у амидопирина.

Амидопирин

Анальгин

Соединения, подавляющие чувствительность к боли, относятся совсем к другому классу. Мы имеем в виду широко применяемые в медицинской практике анестезирующие средства анестезин и новокаин. Оба эти вещества производные пара-аминобензойной кислоты.

Как ищут новые лекарства?

Как же в наше время создаются новые лекарства?, В первую очередь нужно найти биологически активное соединение, оказывающее то или иное благоприятное воздействие на организм. А это задача очень нелегкая. Существуют несколько принципов такого поиска.

Весьма распространен эмпирический подход, не требующий знания ни структуры вещества, ни механизма его воздействия на организм. Тут можно выделить два направления. Первое это чисто случайные открытия. Нетрудно представить, например, как было случайно открыто слабительное действие фенолфталеина (пургена) известного индикатора на щелочь; о том, как было обнаружено галлюциногенное действие некоторых наркотических веществ, мы уже говорили. Другое направление это так называемый метод "просеивания", когда сознательно, с целью выявления нового биологически активного препарата проводят испытания многих химических соединений.

Ваша оценка очень важна

0
Шрифт
Фон

Помогите Вашим друзьям узнать о библиотеке