Шульпин Г. Б. - Эта увлекательная химия стр 26.

Шрифт
Фон

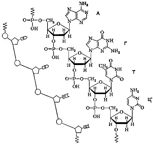
Здесь изображен кусочек ДНК, состоящий всего из четырех 'букв' нуклеотидов. Слева более простое условное изображение того же фрагмента. Кружками обозначены фосфаты, пятиугольниками дезоксирибоза. Основания изображены различными фигурами, смысл которых станет ясен из дальнейшего. Маленькими буквами обозначены основания: а аденин, г гуанин, т тимин, ц цитозин, большие буквы соответствующие им нуклеотиды: А, Г, Т, Ц

Что же было известно до Уотсона и Крика и что нового дала их работа? Прежде всего, они были твердо убеждены, что именно ДНК носитель наследственной информации. Было известно, что молекула ДНК имеет очень большую молекулярную массу и что это, по-видимому, длинная цепь, образованная из множества нуклеотидов. Нуклеотиды соединяются между собой через фосфатные остатки один фосфат при-соединен к двум гидроксильным группам, принадлежащим двум остаткам сахаров соседних нуклеозидов. Последовательность нуклеотидов это первичная структура ДНК. Далее, было известно, что в ДНК со-держание аденина точно равно содержанию тимина, а количество гуанина точно равно количеству цитозина. Это так называемые правила Чаргаффа, установленные в конце 40-х -начале 50-х годов. Наконец, Крик располагал ренгенограммами образцов ДНК, полученными Розалиндой Фрэнклин.

Нужно было на основании этих данных решить, как же устроена молекула ДНК, как она расположена в пространстве и каким образом, почему, благодаря каким особенностям ДНК является веществом наследственности (а в это Уотсон и Крик верили свято).

С какой стороны подступиться, с чего начать? Очень импонировал обоим ученым путь, который привел Лайнуса Полинга к открытию знаменитой α-спирали белковой молекулы. Уотсон пытался понять, как именно Полинг открыл α-спираль. Вот что писал Уотсон.

Рентгенограма кристалла ДНК, получения Р. Фрэнклин. Расчет Крика показывает, что такую рентгенограмму может дать спиральная молекула

"Вскоре я усвоил, что Полинг достиг этого, опираясь больше на здравый смысл, чем на сложные математические выкладки. В своих рассуждениях он иногда оперировал уравнениями, но и тут в большинстве случаев можно было бы обойтись словами. Ключ к успеху Лайнуса надо было искать в том, что он доверился простым законам структурной химии, α-Спираль была открыта не с помощью простого созерцания рентгенограмм; главный фокус состоял в том, чтобы задать себе вопрос: какие атомы предпочитают соседствовать друг с другом? Основными рабочими инструментами были не бумага и карандаш, а набор молекулярных моделей, на первый взгляд напоминающих детские игрушки.

Мы не видели, что могло бы помешать нам решить проблему ДНК таким же способом. Нужно было только сконструировать набор молекулярных моделей и начать играть ими".

Вот так, "играя" с моделями, Уотсон и Крик и открыли свою знаменитую двойную спираль. Крик, как физик, произвел кое-какие расчеты и показал, что рентгенограмма кристаллической ДНК, полученная Фрэнклин, лучше всего соответствует именно спиральной укладке длинной молекулы в виде двух переплетающихся цепей.

Как же соединяются две нити ДНК, какие силы удерживают их в переплетенном состоянии? Силы те же, что и в структуре Полинга водородные связи.

Уотсон, собирая модели нуклеотидов и так, и этак в разных сочетаниях, нашел, что идеальным вариантом является такой, когда фосфатно-сахарный остов образует основу каждой из нитей, а азотистые основания обращены внутрь. Причем против аденина должен располагаться

только тимин, а гуанин прекрасно подходит к цитозину. Два основания каждой такой пары соединены водородными связями. Аденин и тимин двумя связями, а гуанин и цитозин тремя. Сразу нашло объяснение правило Чаргаффа: в молекуле ДНК А = Т и Г = Ц.

По своим размерам аденин настолько хорошо подходит к тимину, а гуанин к цитозину, что получающаяся двунитевая спираль имеет по всей длине совершенно правильную конфигурацию, и толщина спирали в любом месте одинакова (диаметр ее составляет 2 нм).

В молекуле ДНК против аделина одной цепи двойной спирали обязательно располагается тимин другой цепи (а). Такие же отношения существуют между гуанином и цитозин (б)

Теперь легко объяснить, как происходит воспроизведение молекул ДНК: молекула расплетается на две нити, на каждой нити строится вторая дополнительная к ней нить, и обе образовавшиеся двунитевые молекулы расходятся в две дочерние клетки.

Не нужно только думать, что две нити ДНК при репликации (т. е. при удвоении) расплетаются как веревка, составленная из двух прядей. С какой скоростью должны были бы вращаться в таком случае, например, концы нитей ДНК кишечной палочки, состоящей из трех миллионов пар нуклеотидов? На каждый виток приходится 10 пар азотистых оснований. Клетка кишечной палочки делится каждые 20 мин, т. е. за это время должна раскрутиться ДНК длиной 1 мм (именно такова длина трехмиллионно нуклеотидной ДНК кишечной палочки). Получается, что скорость расплетания должна была бы составлять 15 000 оборотов в минуту. Это совершенно немыслимая скорость. Приходится предположить, что при удвоении молекулы ДНК она сначала расщепляется во многих местах, так что наращивание второй молекулы идет одновременно по всей длине ДНК.

Ваша оценка очень важна

0
Шрифт
Фон

Помогите Вашим друзьям узнать о библиотеке