Aliyev Ibratjon Xatamovich - All sciences. №9, 2023. International Scientific Journal стр 6.

Книгу можно купить на ЛитРес.
Всего за 328 руб. Купить полную версию
Шрифт
Фон

Keywords: semicrystalline structures, surface recombination rate, polycrystalline films, spectrum shift.

Аннотация. В данной статье изучено скорости поверхностной рекомбинации в поликристаллических пленках CdTe полученных на окисленных подложках, Приведены результаты действия коронного разряда в структуру CdTe-SiO

2

Ключевые слова: полукристаллические структуры, скорость поверхностной рекомбинации, поликристаллические плёнки, смещение спектров.

CdTe semiconductor films are an important material for the creation of photodetector devices based on its heterostructures operating in the near (up to 3 microns) and far (814 microns) The IR range. This paper presents studies of the heterostructure obtained from growing CdTe on the surface of SiO2  Si. This CdTe  SiO2  Si heterostructure is interesting because using the built-in charge in the SiO2 layer, it is possible to control the PHOTOEMF and the short-circuit current spectrum.

Polycrystalline CdTe films with a grain size of 0.050.1 microns were grown on a heated SiO2-Si surface in a vacuum of 105 mmHg. The photosensitivity of the resulting structure is controlled by the action of an electric field or corona discharge, which change the built-in field in the SiO2 layer. To enhance the effect, an Al layer is applied to the Si surface, and we get a «reverse» CdTeSiO2SiAl type field effect transistor, where a control charge is located under the semiconductor layer, and its surface remains open.

When the voltage between the Al layer and the electrode exceeds 6 kV, a corona discharge occurs, while the embedded field inside the structure reaches 100V. At the same time, at the boundary of the CdTe and SiO2 layers, charge carriers (electrons and holes) are tunneled from the semiconductor layer into the deep levels of the dielectric. Charge carriers in the film and at the interface, depending on the magnitude of the built-in charge, change the potential relief, therefore, when this layer is photoexcited, they will be generated under the influence of the built-in charge. This changes the distribution of current carriers generated on the surface in such a way that it draws them into an area that is accessible only to weakly absorbed electromagnetic radiation. Therefore, photoedics also occurs with long-wave excitation. Due to the asymmetry of the barriers, weak absorbed radiation also generates photoedcs of the reverse sign. Then, under the influence of the volume charge, the inversion of the photoedc sign will mix the short-wave region, and the photosensitivity increases in the region of the electromagnetic radiation spectrum we are studying.

As stated above, when studying the effect of a corona discharge on the CdTe-SiO2Si-Al structure, it showed that the short-circuit current spectra, depending on the magnitude of the external corona discharge in static mode, their displacement into the short-wave region was observed (Fig.1).

Figure 1 shows the spectral dependences of the short-circuit current (Icz) of the CdTe layer for various values of corona discharge intensity, which were carried out by contact (2) and electric probe contact (3) to the surface of the CdTe semiconductor. It can be seen that in the absence of external influences in the Icz (v) spectra, an inversion of the Icz sign is observed in the vicinity of the light quantum energy value equal to hv= 1.21eV (curve 1) the inclusion of the surface corona discharge potential between the CdTe layer and silicon leads to a significant change in the spectral sensitivity of the short-circuit current (Icz). When the surface potential changes within its value from 0 to 100V, the inversion position of the short-circuit current sign will mix into the short-wave region of the spectrum. In this case, the maximum photo sensitivity of the Icz will be mixed into the short-wavelength region of the spectrum and in the range from 0.93 eV to 1.5 eV. The position of the maximum value of the Icz increases by more than 1000 times at = 70V (curve 3) [63;  p.2225]. For a qualitative description of the physical nature of the transfer phenomenon occurring in the CdTe-SiO2-Si-Al structure (semiconductor  oxide  semiconductor, i.e. When a voltage is applied to it, consider a model in which a stationary current is a flow of electrons tunneling from the conduction band of a semiconductor into a deep level located in an oxide (including into a trap at the interface). Since the thickness of the silicon oxide in the structure under consideration is 0.4 microns, we estimate that the first contribution and the total flux are insignificant (less than 25%).

It should be noted that during corona discharge, the activation energy of the deep level (0.7eV) changes significantly depending on the potential of the corona discharge. This change is due to the influence of the optical ionization energy of the deep level located in the region of the volume charge near the SiO2 layer (this is indicated by experimental results). If we consider that this change occurs due to the Poole  Frenkel effect [64; p.52], then the mixing of the level can be estimated by the formula



where, is the dielectric constant of CdTe, e is the electron charge. Then, according to our estimates, the electric field strength in the vicinity of the defect reaches 103 V/cm.

To verify and analyze the above, the CdTe layer was separated from the SiO2 surface and installed on the sapphire surface. After that, contactless registration of transient decay processes for excess carriers was carried out using the microwave probe photoconductivity (WPC) method [2]. The parameters of deep traps and the state of their filling are determined by the photoionization of the captured media. Photoionization took place under the action of laser pulses varying in spectrum.

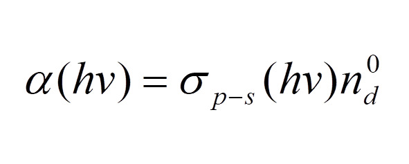
The cross section in the Lukovsky model is expressed in the following form



where B is the multiplicative coefficient [3]. For photons with energy hv, the change in a (hv) absorption coefficient at



it will also be proportional to the density of the captured media. The density of photo-emission carriers



at a fixed surface density F (hv), the incident photons are controlled by the MW probe. At the same time, the density of Nd traps can be independently estimated from the spectra of the absorption coefficient a (hv). The n/N fill factor can be controlled by combined measurements of the peak value of the MW-PC or a (hv) signal depending on F|hv, and saturation of these characteristics indicates complete photoionization of Nd traps.

Depending on the excitation wavelength, transient processes of contact photoconductivity were additionally measured. These measurements were carried out by exciting the interelectrode gap of the photoresistor and registering the photocurrent on a 50 ohm load resistor. The photocurrent and MW response signals were recorded using a Tektronix 1 GHz TDS-5104 oscilloscope.

Figure 2.a shows the recorded MW-PC transients at a relatively low (I1/I2=0.2) Excitation densities for the separated CdTe layer. From Fig. 2.a, it can be concluded that with an increase in the excitation wavelength, the shape of the MW-PC transient process changes from two components to one exponential. For a very thin sample with bare surfaces, this means the manifestation of surface recombination [2].

This phenomenon is caused by a decrease in the amplitude A1 of the main attenuation mode with an effective excitation depth, which is the inverse of the absorption coefficient α [2]. The absorption coefficient increases sharply with the energy of the excitation photon at the absorption edge of the CdTe material in the wavelength range of about 8001000 nm [4]. At the same time, the dependence of the absorption coefficient on the layer thickness inherent in CdTe nanostructures [5] can be ignored, since the layer thickness of 1 µm is sufficient to have the properties of a bulk material.

Ваша оценка очень важна

0
Шрифт
Фон

Помогите Вашим друзьям узнать о библиотеке

Скачать книгу

Если нет возможности читать онлайн, скачайте книгу файлом для электронной книжки и читайте офлайн.

fb2.zip txt txt.zip rtf.zip a4.pdf a6.pdf mobi.prc epub ios.epub fb3