Зеленский Евгений - Фарма.РФ. Как отечественные компании создают лекарства будущего уже сегодня стр 2.

Книгу можно купить на ЛитРес.
Всего за 0.01 руб. Купить полную версию
Шрифт
Фон

Спустя два месяца кропотливой и точной работы, наконец, стало ясно препарат RDX749 не только работает, но в конкретной дозировке его эффективность максимальна!

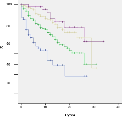
Для удобной визуализации таких эффектов исследователями придуман особый, наглядный способ. Он еще называется графиком Каплана-Мейера, по именам создателей этой графической модели. Фиксируя на графиках летальный исход каждой конкретной мыши черточками, модель демонстрирует общую динамику в сравнении между группами.


Рис. 1. Кривые Каплана-Мейера, как правило используемые для демонстрации динамики общей выживаемости


Судьба контрольных мышей, не получивших препарат, показана здесь на синем графике. Абсолютное число живых мышей по оси Y и время, выраженное в сутках, по оси X позволяют понять, что половина контрольных мышей, получавших физиологический раствор без лекарственного действия, уже не было в живых на одиннадцатые сутки эксперимента (медиана общей выживаемости 11 суток), тем временем как получавшие исследуемый RDX749 жили заметно дольше.

Наилучший же эффект можно видеть у получивших дозу, эффект которой отображен на фиолетовом графике (самый верхний) медиана общей выживаемости у них превысила месяц и даже приблизилась к сорока суткам. Это может казаться небольшим сроком, но ведь мы говорим о мышах и тем более мышах с опухолью для них это солидное время! А идеальная доза позволила превысить срок при отсутствии лечения без малого в четыре раза!

Полный график и все данные мы, конечно, в условиях конфиденциальности и коммерческой тайны демонстрировать не будем, а понять и разделить радость Марии, передавшей эту информацию руководству можно.

RDX749 был двадцать третьей молекулой, чьи свойства изучались в этом году и пока лишь он один получил шанс на проведение клинических испытаний уже на людях. Сперва на здоровых добровольцах, чтобы оценить насколько он безопасен и в каких дозировках его концентрации в биологических жидкостях теперь уже человеческого организма приблизятся к оптимальным.

Затем на узкой группе пациентов с конкретным онкологическим заболеванием, для лечения которого и исследуется такое лекарство.

Первая и вторая фазы клинических испытаний считаются ранними этапами и проводятся на ограниченной обычно десятками пациентов популяции. А третья фаза, которую проведут уже на широкой группе людей с заболеванием будет самой крупной и важной для последующей регистрации нового лекарства. Если, конечно, исследование окажется успешным.

В третьей фазе будет сравниваться эффективность нового потенциального препарата с уже известными и применяемыми врачами в практике, и «препарату-новобранцу» необходимо зарекомендовать себя не только безопасным для пациента решением, но и убедительно превзойти в эффективности уже использующиеся методы и препараты сравнения. Ведь зачем регистрировать что-то новое, что ничем не лучше старого, уже имеющегося?

Олег монитор клинических исследований. Он носит деловой костюм, не работает в лабораториях, как Мария и Иван, зато часто бывает в командировках. Его работа связана с исследовательскими центрами, где проводят клиническое испытание, а это общение с врачами-исследователями по всей стране и, особенно, работа с многочисленной документацией. Каждое клиническое исследование подчиняется сложнейшему своду внутренних законов и правил, ведь речь идет о жизни и здоровье людей.

Проверка и тщательный аудит соблюдения таких правил в рамках исследования имеет название GCP (Good Clinical Practice), что можно перевести как «надлежащая клиническая практика» и только результаты исследований, проведенных по ее строгому «уставу», могут признаваться всеми врачами в нашей стране и зарубежом.

Надо, кстати, отметить, что лабораторные этапы работы и производственные шаги в создании лекарства также имеют свои правила, описанные в соответствующих GLP (Good Laboratory Practice надлежащая лабораторная практика) и GMP (Good Manufacturing Practice надлежащая производственная практика).

Все они вместе составляют международную систему норм и правил, позволяющую гармонизировать все подходы к работе на любом этапе, в какой бы стране ни проводилось исследование нового лекарственного препарата. Ведь все мы разные, а индустрия каждой страны имеет собственные традиции и подходы. Как сложно было бы без такой системы сопоставлять разные данные!

Олег очень уравновешенный и внимательный человек. Работа с важными документами и переговоры с исследовательскими центрами удаются ему отлично.

Для каждого исследования существует свой дизайн схема и модель, определяющая кто может участвовать и что вообще будет исследоваться. Качественно собранная информация о таких параметрах исследования жизненно важна для последующей правильной статистической обработки и подачи досье (резюме) препарата на регистрацию, если эффект, показанный ранее в лаборатории и на ранних фазах, действительно будет воспроизведен и доказан на людях. На пациентах с конкретным заболеванием. Действительно спасет жизни или хотя бы позволит существенно их продлить.

Надежда специалист по регистрации. Она тоже работает с документами, но если общение Олега опирается на коммуникацию с врачами-исследователями, то у Надежды с представителями регуляторного органа. В случае России с Минздравом (МЗ РФ).

Специалисты МЗ РФ оценивают каждое досье препарата-кандидата на регистрацию и, после тщательных проверок, принимают финальные решения о возможности и целесообразности регистрации. А также, в дальнейшем, и его доступа для пациентов. Их работа очень ответственна и важна, ведь это финальная инстанция, служащая фильтром от недобросовестных или неэффективных разработок и несущая незримую ответственность перед каждым пациентом, который в дальнейшем получит лечение новым лекарством.

Еще до подачи бумаг на регистрацию, сотрудники медицинского подразделения компании Михаил и Анастасия, активно трудятся, выясняя что может стать барьером на пути к внедрению нового препарата в клиническую практику, а что послужит рычагом и закроет важный пробел у врачей в лечении пациентов с конкретным заболеванием.

Например, препарат RDX749, в дальнейшем получивший международное непатентованное название эрлифизуниб (вымышленное название по аналогии с существующими молекулами, применяемыми в онкологии), показал наилучшую и статистически-значимую эффективность не у всех абсолютно пациентов с опухолью, а только у носителей мутации в определенном гене опухолевых клеток. А частота встречаемости такой мутации не превышает 40 % от всех случаев этого онкологического заболевания.

В дальнейшем мы еще будем говорить о многих таких мутациях и их роли в возникновении и прогрессии рака, а сейчас задача Михаила и Анастасии наладить диагностику такой мутации в нашей стране, ведь ее важность не была очевидна прежде и методы определения в рутинной практике врачей, скорее всего, отсутствуют. Никто не смотрит есть она или нет, ведь не было ясно зачем это делать, какая в этом клиническая ценность и есть ли подходящая терапия.

Также эти методы не имеют тарифов оплаты, а значит медицинское учреждение, проводящее такую диагностическую методику, не сможет получить оплату из системы ОМС, распределяющей деньги, выделенные на лечение всех пациентов по определенным правилам. Нет таких тарифов и для нового препарата. А ведь онкологические пациенты в нашей стране получают помощь за счет государственных средств и этот процесс должен быть обязательно налажен.

Ваша оценка очень важна

0
Шрифт
Фон

Помогите Вашим друзьям узнать о библиотеке

Скачать книгу

Если нет возможности читать онлайн, скачайте книгу файлом для электронной книжки и читайте офлайн.

fb2.zip txt txt.zip rtf.zip a4.pdf a6.pdf mobi.prc epub ios.epub fb3