Отажонов Салим Мадрахимович - Компоненты неметаллических материалов и их свойства. Монография стр 5.

Шрифт
Фон

Полимеризация.

Слово «полимер»  греческого происхождения. Буквально, полимер  это молекула, состоящая из многих (поли-) частей (мерос), каждая из которых представляет собой мономерное, т.е. состоящее из одной (монос) части, звено полимерной цепи. Реакция получения полимера из мономера называется полимеризацией. Полимерные молекулы обычно представляют собой очень длинные цепи, линейные или разветвленные. Образование этих молекул возможно благодаря тому, что атомы углерода легко и прочно соединяются друг с другом и со многими другими атомами.

Известно много типов полимеризации, однако наиболее распространены два из них: присоединительная (аддиционная) полимеризация и поликонденсация.

В присоединительной полимеризации мономеры присоединяются друг к другу непосредственно, без изменения состава. Например, молекулы этилена H

2

2



Вся цепь содержит более 6000 атомов. Углеродные атомы цепи соединены простыми (одинарными), а не двойными связями (рис. 1). Эту реакцию можно записать как nH

2

2

2

2

nn

2

4



Эти структуры возможны, поскольку углеродный атом образует четыре связи с другими атомами, кислород  две, а водород  одну связь.

Присоединительная полимеризация редко идет самопроизвольно. Она может быть инициирована определенными катализаторами, обычно свободнорадикальными, катионными или анионными. Инициированные ими реакции  экзотермические (идущие с выделением тепла). Промышленные полимеризационные процессы, проводимые в интервале температур от 80° до 120° С, дают большие выходы полимеров за короткое время.

При поликонденсации два или несколько различных мономеров реагируют, образуя цепь. При этом от их молекул отщепляются небольшие фрагменты, которые, соединяясь друг с другом, обычно образуют воду, т.е. в конечном полимерном продукте присутствуют не все атомы мономеров. Важное условие поликонденсации состоит в том, чтобы каждый мономер был бифункциональным, т.е. содержал две функциональные группы; обе они могут реагировать с функциональными группами другого компонента. Функциональные группы  это те части молекулы, которые непосредственно участвуют в химической реакции, т.е. места, где атомы, ионы, радикалы или другие группы могут либо отщепляться от молекулы, либо присоединяться к ней.

Например, гексаметилендиамин H

2

2

6

2

2

2

4



Реакция на этом не заканчивается, поскольку образующиеся промежуточные соединения также бифункциональны и могут реагировать с мономерами или друг с другом. Конечным результатом являются длинные линейные цепи повторяющихся звеньев HN (CH

2

6

2

4



Другим большим семейством продуктов поликонденсации являются полиэфиры. Из них особенно важен полимер, получаемый взаимодействием терефталевой кислоты HOOCC

6

4

2

2



Ермопласты.

Все линейные или слегка разветвленные полимеры термопластичны. Это означает, что они могут многократно размягчаться при нагревании и затвердевать при охлаждении. При этом, в сущности, физическом процессе, похожем на повторяющиеся расплавление и кристаллизацию металла, химических изменений не происходит.

Реактопласты

(термореактивные, или термоотверждающиеся, пластмассы). Если процесс полимеризации протекает более чем в двух направлениях, то возникают молекулы, образующие не линейные цепи, а трехмерную сетку. Эти полимеры можно размягчить нагреванием, но при охлаждении они превращаются в твердые неплавящиеся тела, которые невозможно снова размягчить без химического разложения. Материалы такого рода называют реактопластами. Необратимое затвердевание вызывается химической реакцией сшивки цепей.

Важным процессом этого типа является присоединительная полимеризация дивинилбензола:



В дивинилбензоле две двойные винильные связи. В ходе полимеризации они образуют трехмерную сетчатую структуру. При нагревании полученный полимер медленно разлагается.

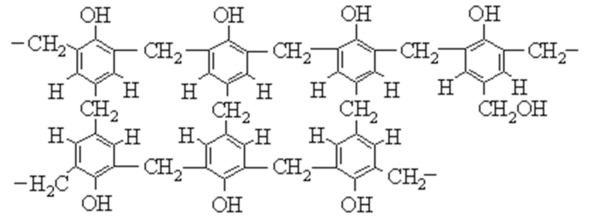
Хорошо известный реактопласт  феноло-формальдегидную смолу  получают поликонденсацией фенола с формальдегидом. Первая стадия выглядит следующим образом:



Тригидроксиметилфенол, реагируя с фенолом, способен отщеплять воду и образовывать трехмерную сетчатую структуру:



Из вышесказанного следует простой и логичный вывод: все линейные полимеры термопластичны, а все сшитые сетчатые полимеры реактопластичны (термореактивны). Очевидно, структура мономерных единиц и их функциональных групп позволяют предсказать тип пластмассы, получаемой при полимеризации.

Основные свойства пластмасс.

Химические свойства.

С точки зрения химического поведения полимер похож на мономер (или мономеры), из которого (или которых) он получен. Углеводороды этилен H

2

2

2

3

2

6

5



Эти полимеры ведут себя как углеводороды. Они, например, растворимы в углеводородах, не смачиваются водой, не реагируют с кислотами и основаниями, горят, подобно углеводородам, могут хлорироваться, бромироваться и  в случае полистирола  нитроваться и сульфироваться.

Виниловый спирт CH

2



проявляющий свойства спирта: он растворим в воде, не смачивается маслами, устойчив к действию кислот и щелочей, подвергается этерификации, с альдегидами и a-оксидами реагирует подобно другим спиртам.

Полиэфиры, например, состава



растворимы в некоторых высококипящих растворителях. Они не набухают в воде, но постепенно гидролизуются и разрушаются кислотами и щелочами, особенно при повышенных температурах. Эти реакции и свойства характерны для всех эфиров.

Полиамиды (например, найлон-6,6; см. выше) ведут себя подобно амидам. Они еще более труднорастворимы, чем полиэфиры, не набухают в воде и гидролизуются под воздействием кислот и оснований при повышенных температурах, но гораздо медленнее, чем полиэфиры.

Из изложенного ясно, что все главные химические свойства полимеров можно предсказать на основе их формул, рассматриваемых с точки зрения классической органической химии.

Физические свойства

полимера, напротив, зависят не только от характера мономера, но в большей степени от среднего количества мономерных звеньев в цепи и от того, как цепи расположены в конечной макромолекуле.

Все синтетические и используемые в промышленности природные полимеры содержат цепи с различным числом мономерных единиц. Это число называют степенью полимеризации (СП) и обычно пользуются его средним значением, поскольку цепи не одинаковы по длине. Средняя длина цепи и СП может быть определена экспериментально несколькими методами (например, осмометрией  измерением осмотического давления различных растворов; вискозиметрией  измерением вязкости; оптическими методами  измерением светорассеяния различными растворами; ультрацентрифугированием, при котором вещества разделяются по их плотности). СП особенно важна при определении механических свойств полимера, поскольку при прочих равных условиях более длинные цепи налагаются друг на друга более эффективно и порождают большие силы сцепления. Можно сказать, что заметная механическая прочность наблюдается уже при СП 50100, достигая максимума при СП выше 1000.

Термические и механические свойства

в сильной мере зависят от расположения мономерных звеньев в полимерных цепях, поскольку полимеры могут кристаллизоваться, если цепи имеют регулярное строение и расположены параллельно друг другу, что достигается процессом, называемым ориентационным вытягиванием с отжигом. Чем выше степень кристалличности, тем тверже продукт, тем выше его температура размягчения и больше устойчивость к набуханию и растворению; низкой степенью кристалличности характеризуются более мягкие продукты с более низкими температурами тепловой деформации и более легкой растворимостью (рис. 2).

Ваша оценка очень важна

0
Шрифт
Фон

Помогите Вашим друзьям узнать о библиотеке

Скачать книгу

Если нет возможности читать онлайн, скачайте книгу файлом для электронной книжки и читайте офлайн.

fb2.zip txt txt.zip rtf.zip a4.pdf a6.pdf mobi.prc epub ios.epub fb3