Aliyev Ibratjon Xatamovich - All sciences. №1, 2023. International Scientific Journal стр 11.

Шрифт
Фон

They were opposed by formalists who believed that set theory would put mathematics on a purely logical basis. And their non-official leader was the German mathematician David Hilbert, who at that time became a living legend, with works in almost all areas of mathematics, having created concepts that became the basis of quantum mechanics, and he knew perfectly well that Cantor's work was brilliant. After all, such an idea, a strict and clear proof system based on set theory could solve all mathematical difficulties, and many agreed with him. This is also proved by his words: "No one can expel us from the Paradise that Kantor created."

But in 1901 Bertrand Russell pointed out a serious problem in set theory, because if a set can contain anything, it also contains other sets and even itself. For example, the set of all sets must contain itself, as well as the set of sets with more than 5 or 6 elements, or the set of all sets containing themselves. And if you accept this, it turns out to be a strange problem, because what to do with the set of all sets that do not contain themselves?

After all, if this set does not contain itself, it must contain itself, and if it does not contain itself, then by definition, it must contain itself. It turns out the paradox of self-reference, where the set contains itself only if it does not contain itself and does not contain itself only when it contains. But his allegory is more popular, with a city where only men live and a barber should shave only those men who do not shave themselves, but the barber himself is also a man and lives there. But if he does not shave himself, then a barber should shave him, but he cannot shave himself, because he does not shave those who shave themselves, it turns out that he should shave himself only if he does not shave himself. And of course, intuitionists were happy about this paradox.

But Hilbert's followers solved this problem by simply changing the definition to the fact that the set of all sets is not a set, just like a set of sets that does not contain itself. And although the "battle" was won, the self-reference remained and awaited its revenge.

This problem has been revived since the 60s of the XX century, when mathematician Hao Wang was thinking about ways to decompose multi-colored tiles by setting the following conditions you can combine the edges of the same color, but you cannot rotate or flip the cell. And then the question arises, is it possible to tell from a random set of tiles whether it is possible to pave the entire plane? Is it possible to do this indefinitely and surprisingly, this task has become unsolvable, like the game "Life" and the whole problem has again been reduced to the already familiar self-reference, which has yet to be learned.

And then Hilbert decided to create a reliable proof system. The main idea of such a model was back in ancient Greece, where some initial statement was taken for truth without evidence an axiom, for example, that only one straight line can be drawn between two points and evidence from consequences is built on the basis of these statements. So it turns out to preserve the truth of statements, where if the original ones are true, the new ones are also true.

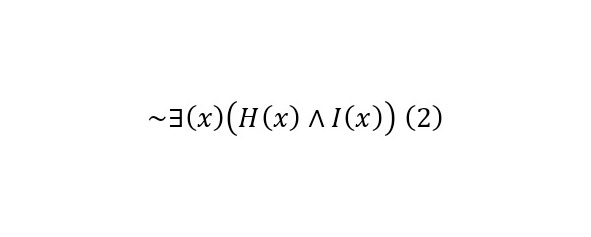
So Hilbert wanted to get a symbol system  a language with a strict set of operations, where mathematical and logical statements could be translated into this language, and the phrase if you drop the book, it will fall down to (1).



Which read: «If A, then B.» And the statement that «There are no immortal people» would look like (2).



So the formalists wanted to give mathematical axioms the form of symbolic statements and establish the rule of inference as mathematical operations in this system. Russell, together with Whitehead, decomposed and described such a formal system in the three-volume "Principles of Mathematics", published in 1913, which became a monumental work of 2,000 pages of dense mathematical text, where on 762 pages a proof is given that 1 +1 =2, after which it is stated that "the above application sometimes turns out to be useful" ("The above proposition is occasionally useful"). They planned to write the 4th volume, but it seems fate did not like it, speaking more figuratively and giving a not bad example.

The thing is that although such mathematical records are too unusual, they are brief and accurate than ordinary language, leaving no room for errors or fuzzy logic, allowing you to describe the properties of the formal system itself. And if such an opportunity has finally appeared, then this is the time to study mathematics itself, posing three main questions:

1. Completeness of mathematics, that is, is it possible to prove any true statement?

2. Consistency, that is, is mathematics free from contradictions? After all, if you can say that A is true and that A is false at the same time, then you can prove anything and all meaning in science itself disappears.

3. Solvability of mathematics, that is, is there an algorithm that would say does any conclusion follow from the axioms?

Gilbert was convinced that all three questions could be answered positively by delivering a fiery speech at the conference of the 30th year, concluding with the phrase: "Let our slogan be not ignorabimus, which means "we will not know", but something completely different: "we must know we will know!"", these words were carved on his tombstone, but the day before the speech, at the same conference, 24-year-old logician Kurt Goedel told that he was able to find the answer to Hilbert's first question about completeness and surprisingly the answer was completely negative.

Is it really impossible to fully formulate mathematics? And the only one who showed interest in the young man was John von Neumann, a former student of Hilbert, asking various clarifying questions, after which, in the following 1931, Goedel published an article about incompleteness and everyone, together with Hilbert, then paid attention to him and his proof.

And the proof looked like this. He wanted to use logic and mathematics to find answers to questions about how logic and mathematics work, for which he took all the signs of the mathematical system and assigned each of them its own number, giving the Godel numbering.

His system is demonstrated in (317).



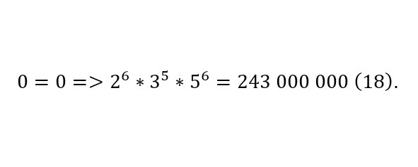
But if you spend on each digit of a number, then for the numbers themselves, for example, for 0, the digit 6 is assigned, and if you write 1, you write "s0", which means "next to 0", for 2 ss0, and so you can express any integer, albeit cumbersome. So, if indicators were introduced for the designation and numbers, then you can write down equations, for example, "0=0", these values are assigned the numbers 6, 5, 6, respectively, but for the equation "0=0", you can create your own card, take prime numbers with 2 and they are raised to a power the numbers of the element according to the Godel system, and then they are multiplied.

So the equation «0=0» is written in (18).



That is, for the equation "0=0", the Godel number is 243,000,000 and as you can see, such combinations can be obtained for absolutely any equation, any combination of symbols, and it is like an infinite deck of cards, where there is a personal card for any combination. And the beauty of the system also lies in the fact that you can not only get a number from an equation, but also from an equation, for comparison, you can take any number, simply decompose it into prime factors, and depending on the powers of the primes, get an equation.

Of course, there will be both true and false statements in this deck, but to prove them, it is necessary to turn to axioms that also have their own Godel numbers, for example, for the axiom: «There is no any number for any number x equal to 0», because there is no 0 in this system. Write down such an axiom it is possible in (19), and in (20), to substitute 0 for it, from which it follows that 1 = 0.

Ваша оценка очень важна

0
Шрифт
Фон

Помогите Вашим друзьям узнать о библиотеке

Скачать книгу

Если нет возможности читать онлайн, скачайте книгу файлом для электронной книжки и читайте офлайн.

fb2.zip txt txt.zip rtf.zip a4.pdf a6.pdf mobi.prc epub ios.epub fb3