Karimov Boxodir Xoshimovich - Elektronika asoslari. O'quv qo'llanma стр 3.

Книгу можно купить на ЛитРес.
Всего за 128 руб. Купить полную версию
Шрифт
Фон

Agar maydon tezlatuvchi xarakterda bolsa, elektron boshlangich v0 tezlik bilan egri chiziq boyicha xarakat qiladi. Sekinlashtiruvchi xarakterga ega bolgan bir jinsli bolmagan elektr maydonida elektronlarning traektoriyasi egiladi va uning tezligi sekinlashadi.

1.5-rasmda elektronlarning bir jinsli bolmagan maydondagi xarakat korsatilgan, bunda ularning ozaro tasiri xisobga olinmagan.


1.5-a-rasm. Elektronlarning bir jinsli bolmagan tezlatuvchi maydondagi xarakati.


1.5-b-rasm. Elektronlarning bir jinsli bolmagan tezlatuvchi maydondagi xarakati.


1.5-c-rasm. Elektronlarning bir jinsli bolmagan tezlatuvchi maydondagi xarakati.


Kuch chiziqlari bir joyda toplanishga xarakat kilib kuch chiziqlari orasiga xarakatlanuvchi elektronlar oqimi kirganda, ularnnig traektoriyasi elektr maydon kuch chiziqlari tomon yaqinlashadi, yani elektronlarning fokuslanishiga olib keladi.

Agar elektr maydon kuch chiziqlari yoyiluvchan bolsa, elektronlar bir-biridan uzoqlashadi va sochiladi.

Elektr maydon sekinlanuvchi va yaqinlashayotgan bolsa elektron tezligi kamayib sochiladi va aksincha sekinlanuvchi va sochiluvchi bolsa elektronlar oqimi fokuslanadi.

1.3. ELEKTRONNING BIR JINSLI BOLMAGAN MAGNIT MAYDONNIDAGI XARAKATI

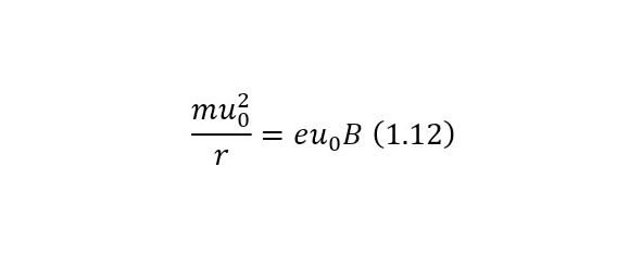
v0 boshlangich tezlikka ega bolgan elektron bir jinsli magnit maydonida kuch chiziqlariga tik ravishda xarakat qilsa, unga Lorents kuchi tasir qiladi.



Bu erda e  elektron kattaligi, v0  boshlangich tezlik, V  magnit induktsiya vetori.

Agar v0 = 0 bolsa F=0 ga teng boladi, yaxni bu xolatda elektron xaraktda bolmaydi va Lorents kuchi nolga teng boladi. Lorents kuchi elektronning tezligiga togri burchak ostida tasir qilganda elektronning traektoriyasi egiladi. Kuch ish bajarmagani uchun elektronning energiyasi va tezligi ozgarmaydi, faqat tezlikning yonalishi ozgaradi.


1.6-rasm. Bir jinsli kondalang magnit maydonda elektronning xarakati


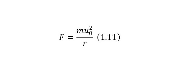
Jismning doimiy V0 tezlik bilan aylana boylab xarakatlanishi markazga intilma kuch xisobiga boladi.

Elektronning xarakat yonalishi magnit kuch chizigiga nisbatan soat strelkasi yonalishi boyicha boladi. Elektronning aylana boylab xarakatlangandagi r radusini topaylik.

Buning uchun markazga intilma kuchining matematik ifodasidan foydalanamiz:



Buni (1.10) dagi F bilan tenglashtirib



ekanligi topamiz. Qisqartirishlarni bajarib esa ni aniklaymiz:



Elektronning v0 tezligi qancha katta bolsa, inersiya boyicha togri chiziq boylab xrakatlanishga intiladi va troktoriyasining radiusi shuncha katta boladi.

Magnit induktsiya V katta bolganda Lorents kuchi F katta bolib, traektoriya koproq egiladi, radiusi esa kamayadi. Yuqoridagi chiqarilgan ifoda ixtiyoriy massa va zaryad uchun togri.

Magnit maydoniga ixtiyoriy burchak ostida kirayotgan elektronning xarakatini koraylik. Elektronnig boshlangich tezlik vektori va X oqi bilan V vektor mos kelgan koordinata yuzasini tanlab olaylik. V0 ni ikkita, yani VX va Vu tashkil etuvchilarga ajrataylik. VX xaraktalanuvchi elektronning yonalishi magnit kuch chiziqlari yonalishi bilan bir xil bolganligi uchun unga magnit maydon tasir qilmaydi. Agar elektron faqat shu tezlikka ega bolganda, u togri chiziqli tekis xarakat qilar edi.

Agar elektron faqat Uy tezlikka ega bolsa yuzada magnit kuch chiziqlariga tik yonalishda aylana boyicha xarakatlanadi. V, Ux va Uy kattaliklar ishtrok etganiligi uchun elektronning natijalovchi xarakati murakkab bolib, traektoriyasi vint chiziqlari yoki spiral boyicha boladi (1.7-rasm). Spiral traektoriyasi kattaliklarga kora torrok yoki kengroq boladi.


1.7-rasm. Elektronni bir jinsli magnit maydondagi spiral boyicha xarakati.

Nazorat savollari

1. Elektronlar bir jinsli elektr maydonda kanday xarakat kiladi?

2. Elektronlar tezlatuvchi elektr maydonida kanday xarakat kiladi?

3. Elektronlarning kundalang bir jinsli maydondagi xarakatini tushuntiring.

4. Elektronlarni bir jinsli bulmagan magnit maydondagi xarakatini tushuntiring.

5. Elektronlar bir jinsli magnit maydonida kanday xarakat kiladi?

6. Elektronlarni bir jinsli kundalang magnit maydondagi xarakati kanday amalga oshiriladi?

2-BOB YARIM OTKAZGICHLI ASBOBLAR

2 bobda yarim otkazgichli asboblar hosil qilishning fizik asoslari, «n-r»  otish hosil qilish va ular asosidagi priborlar-yarim otkazgichli diodlar, tranzistorlarning sxemadagi shartli belgisi, ishlatilish soxasi hamda sxemalari yoritilgan.

2.1. YARIM OTKAZGICH ASBOBLAR XOSIL QILISHNING FIZIK ASOSLARI

Yarim otkazgichli asboblarning ishlashi «elektron» hamda «teshiklarning» xarakatlanishiga asoslangan. Ishlab chiqarishda bu asboblar sodda  germaniy (Ge), kremniy (Si), selen (Se) yoki murakkab  arsenid galliy (ga Aѕ), kremniy karbidi (SiC), galliy fosfidi (gar) yarim otkazgich materialidan tayyorlanadi. Ularning xammasi «olmos» turli muntazam panjara tarkibiga ega bolgan kristalldan iborat.

2.1-rasmda atomlarining tashqi orbitasida torttadan elektroni bolgan toza germaniyning yassi ekvivalent panjarasi keltirilgan. Elektron turgun xolatda bolishi uchun, qoshni tortta atom bilan kovalent yani qosh boglanadi xamda valent elektronlar bu boglanishda ishtirok etadi.


2.1  rasm. Germaniyning kristall panjarasi.


Kvant mexanikasi qonunlariga, asosan, xar bir valent boglangan elektron uchun maolum bir energiya satxi togri keladi. Ularning toplami «valent» (V  zona) zonani tashkil etadi.

Elektrondan xoli bolgan energetik satxlar erkin zonani tashkil etadi, ular «otkazuvchanlik» (S  zona) zonasi deyiladi. Bu ikki zona oraligida uchinchi, «taqiqlangan» zona joylashgan. Ideal qattiq, kristalli jismlarda elektronlar bunday energiyaga ega emas. Bunday xolat absolyut nol xararot uchun togri boladi. Stabil xolatni buzuvchi tashqi faktorlar: issiklik, xarorat, yoruglik nuri, elektromagnit maydon va boshqalar xisoblanadi. Ularning tasiri natijasida valent elektronlar yadro bilan boglanishni ozish uchun etarli bolgan qoshimcha energiya olishi mumkin. Buning uchun zarur bolgan minimal energiya moddaning taqiqlangan zonasi kengligi (W) bilan aniqlanadi. 2.2 rasmda otkazgichlar, yarim otkazgichlar va dielektriklarning energetik zona diagrammalari keltirilgan. Uy xarakatida metallarda taqiqlangan zona nolga yaqin, dielektrik materiallarda 37 EV (olmos) va yarim otkazgichlarda esa 0,5  2,5 EV (germaniy W = 0,66 EV, kremniy W = 1,14 EV) ni tashkil etadi. Kovalent boglanishdan chiqib ketgan elektron erkin bolib qoladi va u kristall boyicha tartibsiz xarakatlanadi.


2.2-rasm. Energetik zonalarniki, a-oqekazgihlarniki; b-yarim-oqekazgihlarniki; c  dielektriklarniki: 1  oqekazuvchanlik zonasi; 2  valent zona; 3  jamoa zonasi.


2.2-rasm. Energetik zonalarniki, a-oqekazgihlarniki; b-yarim-oqekazgihlarniki; c  dielektriklarniki: 1  oqekazuvchanlik zonasi; 2  valent zona; 3  jamoa zonasi.


2.2-rasm. Energetik zonalarniki, a-oqekazgihlarniki; b-yarim-oqekazgihlarniki; c  dielektriklarniki: 1  oqekazuvchanlik zonasi; 2  valent zona; 3  jamoa zonasi.


Bu elektronning energiyasi otkazuvchanlik zonasidagi energetik satxlar qiymati bilan aniqlanadi. Energiya ortishi bilan, sof yarim otkazgichda elektron valent zonaning yuqori satxidan otkazuvchanlik zonasiga otadi. Bunga xususiy otkazuvchanlik deyiladi. Valent zonasidan elektron chiqib ketganda, unda «teshik» deb ataluvchi bosh (vakant) orin xosil boladi (2.3  rasm). Erkin elektron boshqa zarrachalar bilan toqnashganda, oz energiyasining bir qismini sarflaydi va bu energiya satxida yana kovalent boglanishga kirishadi.

Ваша оценка очень важна

0
Шрифт
Фон

Помогите Вашим друзьям узнать о библиотеке

Скачать книгу

Если нет возможности читать онлайн, скачайте книгу файлом для электронной книжки и читайте офлайн.

fb2.zip txt txt.zip rtf.zip a4.pdf a6.pdf mobi.prc epub ios.epub fb3