Рамиз Алиев - Что случилось с климатом стр 8.

Шрифт
Фон

Термохалинная циркуляция физический механизм, а не реально наблюдаемый процесс. Ее нельзя считать отдельным видом движения океана. Именно сочетание термохалинной циркуляции с поверхностными течениями и подъемом глубинных вод, так называемым апвеллингом[15], приводит к запуску Большого океанического конвейера, то есть к вентилированию всей водной толщи Мирового океана (рис. 1.17). Определение радиоуглерода в морской воде (подробнее см. главу 2) показало, что время жизни глубинных вод достигает 1 тыс. лет. Это среднее время, которое каждая частичка воды проводит в толще, прежде чем апвеллинг поднимет ее на поверхность.


Рис. 1.17. Схематическое изображение Большого океанического конвейера (Broecker, 1991)


1.7. Хаос в климатической системе: бабочка Лоренца против демона Лапласа

Она упала на пол изящное маленькое создание, способное нарушить равновесие, повалились маленькие костяшки домино большие костяшки огромные костяшки, соединенные цепью неисчислимых лет, составляющих Время[16].

Рэй Брэдбери. И грянул гром

Эдвард Лоренц (рис. 1.18) составлял прогнозы погоды для авиации США. После Второй мировой войны он продолжал работать по заказам военного ведомства и одним из первых начал использовать математические модели для прогнозирования погоды. В его распоряжении был компьютер LGP-30. Это была новинка, она весила более 300 кг и стоила целое состояние почти полмиллиона долларов на нынешние деньги. Начинку компьютера составляли сто с лишним радиоламп.


Рис. 1.18. Эдвард Лоренц (19172008)  отец теории хаоса. Само по себе рождение новой теории, не менее важной, чем квантовая механика или теория относительности, из-за ошибки округления можно рассматривать как проявление хаоса в действии


Лоренц описывал состояние атмосферы системой дифференциальных уравнений. Он задавал начальные условия, и компьютер рассчитывал, как будут меняться параметры системы со временем. Однажды он решил повторить расчеты погоды на два месяца вперед и ради экономии времени сделал это не с текущей, а с другой даты и ввел в качестве исходных данных цифры из распечатки, сделанной ранее компьютером. Лоренц с удивлением обнаружил, что машина при повторном вычислении выдала уже другой результат. Причем в первые четыре дня старый и новый график шли одинаково, затем они полностью разошлись. Лоренц не сразу догадался, в чем дело. Результаты выводились на печать с тремя цифрами после запятой, тогда как компьютер оперировал шестью знаками. Округлив число до третьего знака, Лоренц задал системе новые начальные условия, пусть незначительно, но отличающиеся от прежних. И это мельчайшее различие со временем полностью изменило результат.

Компьютер преподал исследователю урок: если состояние атмосферы описывается подобной системой уравнений, то долгосрочный прогноз в принципе невозможен. И не важно, сколько станций наблюдает за погодой, какие суперкомпьютеры применяются для обработки данных.

Из эксперимента следовали и более общие выводы. Выходило, что система, пусть даже однозначно заданная несколькими уравнениями, может вести себя хаотически. Согласно Лоренцу, хаосом называется нерегулярное, случайное поведение систем, в то же время детерминированных по сути. Сам он сформулировал это так (Lorenz, n. d.):

«Хаос это когда настоящее определяет будущее, но приблизительное настоящее не определяет будущего даже приблизительно».

Коллеги к открытию Лоренца отнеслись скептически (Lorenz, 1963):

«Один метеоролог сказал мне, что если бы теория была верна, то одного взмаха крыльев чайки было бы достаточно, чтобы изменить погоду навсегда. Спор не решен окончательно, но самые последние данные, похоже, говорят в пользу чаек».

Позже Лоренц назвал одно из своих выступлений «Предсказуемость: может ли взмах крыльев бабочки в Бразилии вызвать торнадо в Техасе?». Лоренц не дает прямого ответа на этот вопрос. Метафора же бабочки, сменившей чайку, восходит к рассказу Рэя Брэдбери «И грянул гром». В мезозое гибнет бабочка и вот уже в современном мире вместо президента-либерала к власти приходит диктатор. Выражение «эффект бабочки» принадлежит популяризатору теории хаоса Джеймсу Глейку, автору бестселлера «Хаос. Создание новой науки».

Лоренц в публичных выступлениях любил цитировать стихотворение:

Не было гвоздя ПодковаПропала.Не было подковы ЛошадьЗахромала.Лошадь захромала КомандирУбит.Конница разбита АрмияБежит.Враг вступает в город,Пленных не щадя,Оттого, что в кузницеНе было гвоздя

Всякий раз Лоренц делал оговорку в мире хаоса пропавший гвоздь мог бы равновероятно привести и к трагическим, и к счастливым последствиям.

Это стихотворение куда старше теории хаоса ему несколько столетий. Множество книг и фильмов обыгрывают ситуации, в которых, казалось бы, незначительные события приводят к грандиозным последствиям. Здесь можно вспомнить, например, Аннушку, разлившую подсолнечное масло. Она выступает как проводник хаоса. В то же время сам Булгаков является приверженцем детерминизма, и случайности у него часть высшего замысла: «Меркурий во втором доме, Луна ушла», «Кирпич ни с того ни с сего <> никому и никогда на голову не свалится». И даже если большинство из нас придерживается иной точки зрения и принимает как должное проявления хаоса в повседневности, то в мире физических явлений мы все же не готовы с этим мириться. Еще со школьных задач, в которых поезд идет из пункта А в пункт Б, мы привыкли считать, что строгие, не знающие исключений законы определяют траектории объектов физического мира. Одним из апологетов детерминизма был маркиз де Лаплас. В работе «Аналитическая теория вероятностей» он писал:

«Мы можем рассматривать настоящее состояние Вселенной как следствие его прошлого и причину его будущего. Разум, которому в каждый определенный момент времени были бы известны все силы, приводящие природу в движение, и положение всех тел, из которых она состоит, будь он также достаточно обширен, чтобы подвергнуть эти данные анализу, смог бы объять единым законом движение величайших тел Вселенной и мельчайшего атома; для такого разума ничего не было бы неясного, и будущее существовало бы в его глазах точно так же, как прошлое».

Позже этот гипотетический разум назвали демоном Лапласа. Возможно, к своим взглядам Лаплас пришел, исследуя движение планет в Солнечной системе, казавшееся ему образцом гармонии. Маркиз бы, наверное, расстроился, узнав, что и движение планет хаотично.

Теория хаоса положила конец детерминизму. Оказалось, что значительная часть явлений нашего мира в принципе не может быть просчитана наперед. Главный вывод Лоренца в целом неутешителен (Lorenz, 1991):

«К сожалению, признавая систему хаотической, мы не узнаем того, чего хотели. И не можем предвидеть будущего поведения системы. Но этот факт говорит нам о том, что существует граница нашего предвидения, хотя и не известно, где именно она находится. Пожалуй, лучший совет, который может дать нам теория хаоса,  не делать поспешных выводов; неожиданности могут быть частью совершенно нормального поведения».

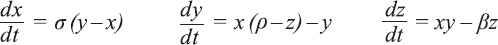
В качестве примера Лоренц рассмотрел (Lorenz, 1963) систему дифференциальных уравнений, упрощенно описывающих конвекцию в атмосфере:



Здесь x, y, z переменные, описывающие состояние системы; t время, независимая переменная; σ, ρ, β  числовые параметры. Каждому состоянию системы для определенного набора параметров σ, ρ, β соответствует набор значений (x, y, z)  точка в трехмерном пространстве. Изменение системы будет описываться трехмерной кривой, известной как аттрактор Лоренца (рис. 1.19). Аттрактор Лоренца наглядно демонстрирует поведение лоренцевской системы. В течение длительного времени система ведет себя квазипериодическим образом, а затем без видимой причины неожиданно переходит в другое состояние. В реальном мире подобной модели могут соответствовать два различных состояния климата, переход между которыми происходит резко и непредсказуемо.

Ваша оценка очень важна

0
Шрифт
Фон

Помогите Вашим друзьям узнать о библиотеке

Скачать книгу

Если нет возможности читать онлайн, скачайте книгу файлом для электронной книжки и читайте офлайн.

fb2.zip txt txt.zip rtf.zip a4.pdf a6.pdf mobi.prc epub ios.epub fb3